beat365官网唯一
学校首页
|
English
首页
通知公告
学院新闻
本科生通知
研究生通知
学生工作通知
beat365官网
学院简介
现任领导
学院荣誉
组织机构
学院办公室
教学科研办公室
学生工作办公室
对外交流合作办公室
软件工程系
信息安全系
数字媒体技术系
实验中心
人才培养
本科生培养
专业介绍
专业建设
实习实训
招生宣传
研究生培养
学位授权点
培养方案
招生培养
教改及成果
研究生导师
特软班研究生导师
师资队伍
师资概况
教师名录
招聘英才
学科科研
研究团队
数据智能研究所
智能软件开发技术研究所(辽宁省云计算工程技术...
智能计算与服务研究所(辽宁省基于大数据的信息...
软件安全研究所
跨媒体人工智能研究所
网络科学与大数据技术研究所
交互式媒体与计算技术科研团队
数据科学科研团队
大数据管理与机器学习应用研究团队
智慧健康研究所
研究基地
科研成果
学术动态
合作交流
国际项目
校企合作
国际化办学
党建工作
组织机构
党委组成
党支部组成
纪委组成
党建工作
规章制度
通知公告
理论学习
支部风采
专题活动
工会工作
工会组成
工会活动
学生园地
学生奖励
学生资助
团学工作
职业发展
榜样引领
校友天地
创新创业
创新团队
科技竞赛
成果展示
政策保障
创新创业先锋
服务指南
下载专区
规章制度
办事流程
院庆专题
院长致辞
通知公告
新闻速递
活动安排
成果展示
发展历程
首页
首页
本科生通知
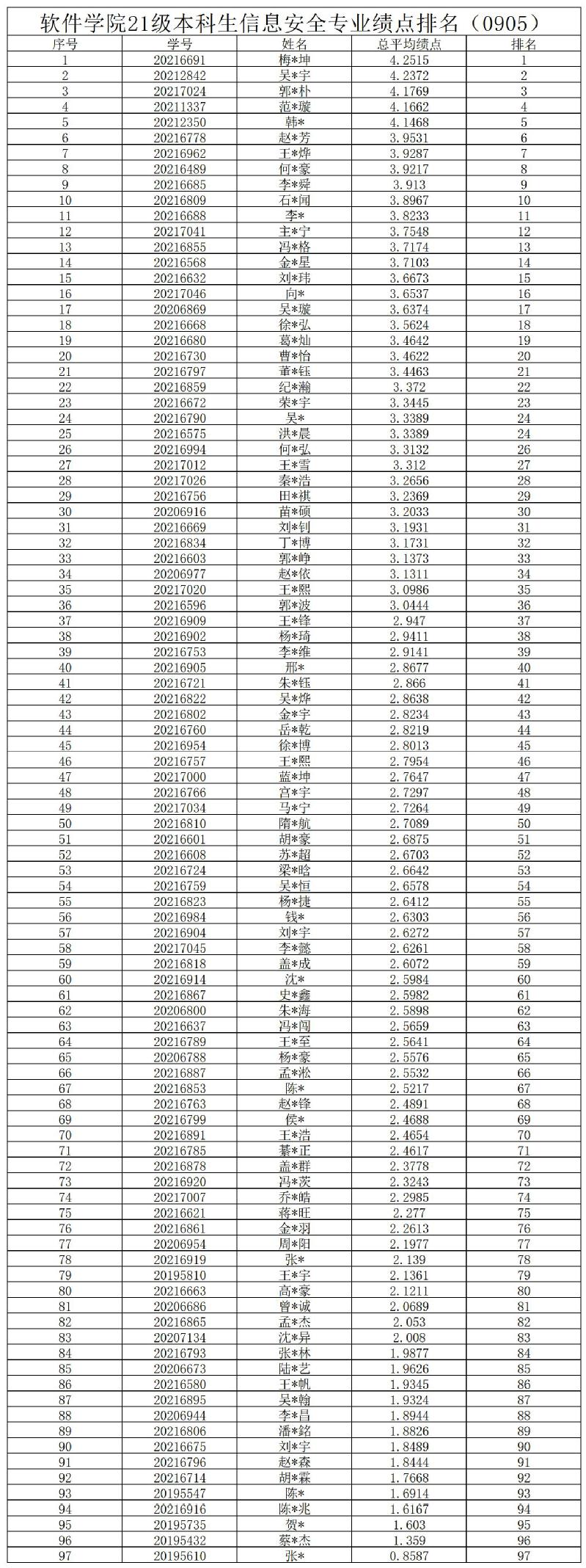
beat365官网唯一21级本科生各专业绩点排名公示
作者: 时间:2024-09-05 点击数:
6650
字号:
大
中
小
地址:辽宁省沈阳市浑南区创新路195号 电话:(024)83680498 传真:(024)83680522 邮编:110169